

一、一切都从库仑定律谈起
我们都已经知道,振荡运动的加速度才是辐射产生的原因。
最著名的公式就是下面的这个等式。这个等式描述了电荷产生的场的完整公式,不仅包含静电场,还包括辐射。其中,辐射就是由等式的第三项决定。

(需要说明的是,er是一个单位矢量,即大小为1的矢量,它的出现是考虑矢量的方向是否会发生改变。)
式子右边的第二项是延迟后的静电场,由于静电场只反映源电荷与检测电荷之间连线上的力的作用,所以,er的方向是沿着场的传播方向,是不变的,所以变量只有r,第二项的最终的结果是跟第一项等效,它比第一项的优势在于,当源电荷没有了,通过第二项还可以计算出源电荷消失后但电场仍存在时的各个时刻各个位置的场的强度是多少。
第三项中的er是一个变量,意味着的它的方向是变化的,它的方向可分解为沿传播方向和垂直传播方向的x方向。沿传播方向的er对r成二次方衰减,对长远距离的辐射而言,完全可以忽略不计。也就是说,辐射只需要考虑x方向的er的变化。er变化时的加速度才是产生辐射的根本原因。
二、点电荷振荡时产生的辐射电场
分析复杂的过程,当然从最简单的模型开始。通过从库仑公式开始的推导,我们得到了辐射电场源自点电荷的振荡加速度产生的。

三、面板电荷振荡时产生辐射电场
通过对点电荷的辐射电场公式进行面积积分,我们得到了整个面板上的电荷同时同相振荡时产生的辐射电场公式。我们神奇地发现,面板电荷振荡产生的辐射电场竟与加速度无关,而是与电荷的振荡速度有关。

四、辐射所带的能量
分析某个源电荷振荡时产生的辐射所带的能量,是以源电荷在每秒内向周围的每平方米的区域发现的辐射的能量来反映的。

五、辐射总能量
辐射总能量是指源电荷在每秒内向源电荷周围所有方向的辐射所带能量的总和,这种总能量其实是辐射平均总功率。它的得来,先对辐射场做平均值(就是对加速度求平均值),然后对每秒每平方米的面积积分。

六、自由度的平均动能为KT/2
从牛顿力学的动量定理开始,再利用统计力学对压强概念进行分析,我们发现,无论是单原子分子,还是双原子等多原子分子系统(多原子分子系统有质心速度与相对速度概念),当达到热平衡时,平均动能竟是一个定值,都是KT/2,只与温度有关。多原子的分子中,一个原子的平均动能=整个分子的平均动能。非常神奇,这意味着,质量大的速度必定小。

七、振动阻尼γ
在受迫有阻尼的振动方程中,我们发现阻尼系数γ还有另一个神奇的身份:共振宽度。即,γ越小,共振宽度越窄,振动的幅度越大(能量波峰越大,破坏力越大)。将γ放至到任何振动系统中,包括电荷振荡系统中,我们通过与Q值(总能量与随每弧度损失的能量之比)搭配,竟可以推导出电子振荡时γ的大小。我们还可以得出任何有阻尼的辐射的能量=γ·源电荷振荡时的总能量。


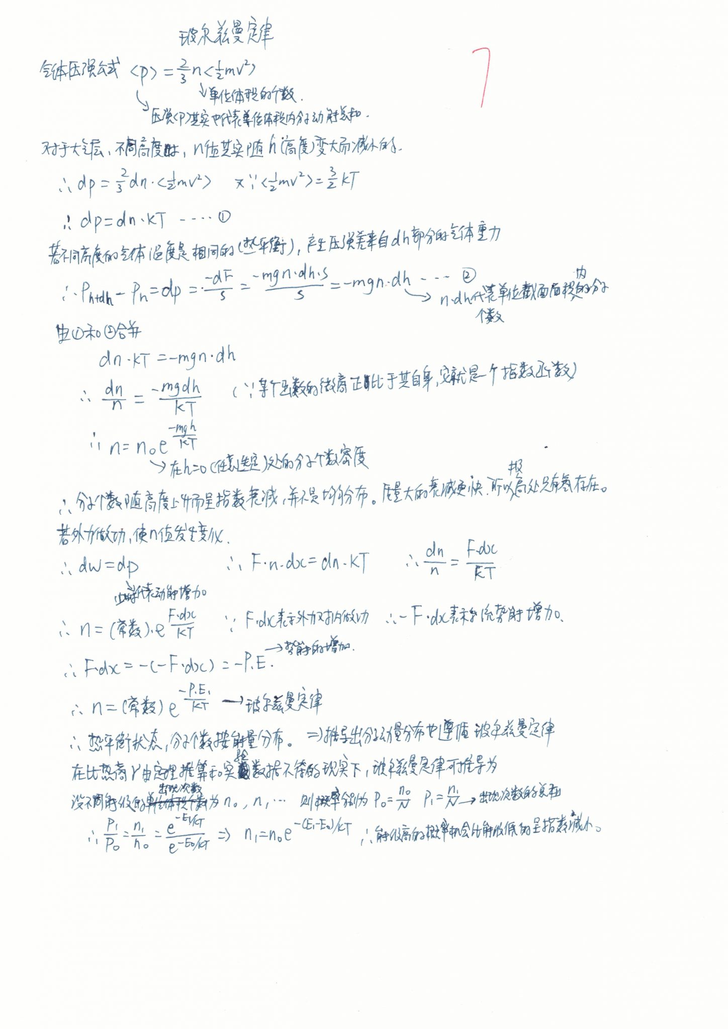
八、玻尔兹曼定律
大气层中分子分布肯定是不均匀,但是,上层空气稀薄,下层空气稠密遵循什么样的规律呢。通过气体压强公式(统计力学求出的)对不同高度的气体压强差的分析,我们可以得到一个这样的规律:分子个数是随高度呈指数衰减。质量大的,衰减得更快。
如果将此规律应用于外力(保守力)作用下使气体分布发生变化,我们得到了玻尔兹曼定律:热平衡下,分子个数分布按能量分布。
进一步推导,我们还可以得到:能级高的概率比能级低的概率呈指数减小。

九、第一个量子力学公式
假定每个电荷谐振子的可能的能级彼此分开相等的间隔(hυ),再根据玻尔兹曼定律,我们可求出,热平衡下,系统中每个振子的平均能量是多少。这个公式就是量子力学的第一个公式。

十、光的散射
上面的内容看似没有任何联系,它们将都在光的散射规律中派上用场。
1、通过点电荷振荡的辐射电场的公式我们求出点电荷振荡发出的辐射的辐射总功率的平均值。
2、通过点电荷(一个电子)受激发发现辐射的总功率(这就是散射)的平均值和入射光辐射所带的能量平均值(功率)的比值可求出散射截面σ的大小。其中,点电荷发出辐射的总功率和辐射所带的能量平均值的求出前面都已经讲述到了。
3、在散射截面σ的公式中我们发现包含阻尼系数γ,但我们前面已经求出了阻尼系数γ。
4、现在考虑所有频率入射时所产生的散射效应。根据黑体中热平衡时,再辐射能量(散射总能量)=吸收的各种频率入射光的总能量。
5、散射其实是再辐射,再辐射的能量其实是源电荷振荡时的总能量平均值。为了与实验数据相吻合,源电荷(无论是多电子原子还是氢原子)振荡的总能量平均值只能根据玻尔兹曼定律来求出平均值。
6、吸收的各种频率入射光的总能量=入射光强度(用I(ω)dω来表示)×散射截面σ,就可以求出散射总能量。
7、通过上面的推导,我们最终可求出I(ω)dω的大小的公式,这个公式就是普朗克公式。



写在最后
得到普朗克公式的整个推导过程初看起来,公式繁多,但对于我而言,每个推导公式都是美的享受。因为,每次推导不是练习,而是一种探索未知的使命。
Was this helpful?
0 / 0